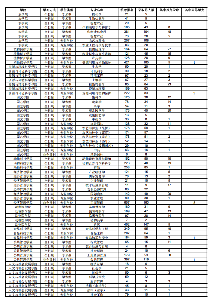
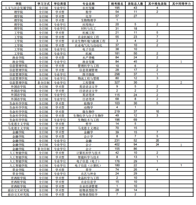
附件【2024级硕士专业报考录取情况.pdf】
QQ好友
QQ空间
新浪微博
人人网
豆瓣
26考研复试专业课资料>>>点击进入
26考研调剂分析系统>>>点击进入
26考研面试模拟系统>>>点击进入
26考研调剂指导无忧A班(适合不需要考数学的专业)>>>点击进入
26考研调剂指导无忧B班(适合需要考数学的专业)>>>点击进入
26考研复试模板班(公共复试)>>>点击进入
27考研初试专业课资料,>>>点击进入
打开微信扫一扫,关注官方公众号
获取更多复试调剂信息
收起
账号登陆