2020年合肥师范学院硕士研究生一志愿拟录取名单公示
来源:
关注公众号:51考研网
2020-09-16
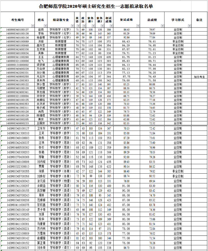
根据教育部和省考试院有关文件精神,按照《合肥师范学院2020年硕士研究生招生复试录取办法》要求,本着“公平、公正、公开”和“择优录取”的原则,经过初试、线上复试、政审等环节,按总成绩由高分到低分确定拟录取名单。报经学校研究生招生工作领导组审定,确定拟录取全日制教育硕士52人,非全日制教育硕士7人(见下表)。
现予以公示,公示时间为10个工作日。公示期:2019年5月19日至5月29日。若对公示名单有异议,请于公示期内与合肥师范学院研究生处(0551-63676140)或纪委办公室(0551-63828650)联系。
合肥师范学院2020年硕士研究生招生一志愿拟录取名单


推荐
-
-
QQ空间
-
新浪微博
-
人人网
-
豆瓣




